Le Globe
eBook - ePub

Le Globe

N°15

  1. 238 pages
  2. French
  3. ePUB (adaptée aux mobiles)
  4. Disponible sur iOS et Android
eBook - ePub

À propos de ce livre

Les grandes questions que pose le globe terrestre : les climats et les paysages, la tectonique des plaques, les séismes, les fleuves et les mers, les ressources en eau et les gisements de métaux de demain, l'action de l'homme, l'ozone et la qualité de l'air. L'Université de tous les savoirs : une approche contemporaine des différents domaines de la connaissance dans un esprit qui est à la fois celui du bilan encyclopédique et celui du questionnement d'avenir. Contributions notamment de Jean-Louis Le Mouël, Xavier Le Pichon, Claude Jaupart, Jean-François Minster, Joël Picaut, Hervé Le Treut.

Foire aux questions

Oui, vous pouvez résilier à tout moment à partir de l'onglet Abonnement dans les paramètres de votre compte sur le site Web de Perlego. Votre abonnement restera actif jusqu'à la fin de votre période de facturation actuelle. Découvrez comment résilier votre abonnement.
Non, les livres ne peuvent pas être téléchargés sous forme de fichiers externes, tels que des PDF, pour être utilisés en dehors de Perlego. Cependant, vous pouvez télécharger des livres dans l'application Perlego pour les lire hors ligne sur votre téléphone portable ou votre tablette. Découvrez-en plus ici.
Perlego propose deux abonnements : Essentiel et Complet
  • Essentiel est idéal pour les étudiants et les professionnels qui aiment explorer un large éventail de sujets. Accédez à la bibliothèque Essentiel comprenant plus de 800 000 titres de référence et best-sellers dans les domaines du commerce, du développement personnel et des sciences humaines. Il comprend un temps de lecture illimité et la voix standard de la fonction Écouter.
  • Complet est parfait pour les étudiants avancés et les chercheurs qui ont besoin d'un accès complet et illimité. Accédez à plus de 1,4 million de livres sur des centaines de sujets, y compris des titres académiques et spécialisés. L'abonnement Complet comprend également des fonctionnalités avancées telles que la fonction Écouter Premium et l'Assistant de recherche.
Les deux abonnements sont disponibles avec des cycles de facturation mensuels, semestriels ou annuels.
Nous sommes un service d'abonnement à des ouvrages universitaires en ligne, où vous pouvez accéder à toute une bibliothèque pour un prix inférieur à celui d'un seul livre par mois. Avec plus d'un million de livres sur plus de 1 000 sujets, nous avons ce qu'il vous faut ! Découvrez-en plus ici.
Recherchez le symbole Écouter sur votre prochain livre pour voir si vous pouvez l'écouter. L'outil Écouter lit le texte à haute voix pour vous, en surlignant le passage qui est en cours de lecture. Vous pouvez le mettre sur pause, l'accélérer ou le ralentir. Découvrez-en plus ici.
Oui ! Vous pouvez utiliser l'application Perlego sur les appareils iOS ou Android pour lire à tout moment, n'importe où, même hors ligne. Parfait pour les trajets quotidiens ou lorsque vous êtes en déplacement.
Veuillez noter que nous ne pouvons pas prendre en charge les appareils fonctionnant sur iOS 13 et Android 7 ou versions antérieures. En savoir plus sur l'utilisation de l'application.
Oui, vous pouvez accéder à Le Globe par Université de tous les savoirs en format PDF et/ou ePUB. Nous disposons de plus d'un million d'ouvrages à découvrir dans notre catalogue.

Informations

Éditeur
Odile Jacob
Année
2002
Imprimer l'ISBN
9782738111104
ISBN de l'eBook
9782738169402

Le refroidissement de la Terre*1


par Jean-Louis Le Mouël

Introduction

Les organisateurs de cette série de conférences m’avaient proposé de parler de la formation et de l’évolution de la Terre. C’était là un bien vaste sujet dont je n’étais pas sûr d’être capable de traiter les nombreux aspects avec toute la compétence souhaitable. J’ai alors décidé, avec leur accord, de me limiter à l’évolution thermique de la planète, à son refroidissement, puisqu’il s’agit de cela. Le sujet ainsi limité est certes moins fascinant ; mais j’avais en faveur de ce choix au moins trois raisons :
  • J’ai maintes fois constaté qu’il est mal compris, même de certains scientifiques ;
  • L’histoire thermique de la Terre rencontre des questions aussi essentielles que celle de son âge et celle de l’énergie que peut fournir la machine Terre à l’entretien de phénomènes dissipatifs tels que le champ magnétique terrestre et le mouvement des plaques lithosphériques ;
  • J’y ai quelque peu travaillé.
Mais d’abord, un avertissement. Je vais parler du refroidissement de la Terre solide. Les conditions de température à la surface de la Terre sont fixées par les interactions du rayonnement solaire et de l’atmosphère. Le flux d’énergie reçu du soleil sous forme de rayonnement est plus de mille fois plus grand que le flux de chaleur interne, sortant de la Terre solide, dont je parlerai tout à l’heure. Dans la suite de l’exposé je supposerai que la température de la surface du Globe est fixée, constante et égale à 0 °C, pour la plus grande partie de son histoire.
La question du refroidissement de la Terre est de celles que l’on range dans la catégorie des questions séculaires, ce qui signifie sans doute que l’on s’y intéresse depuis des siècles, mais que la solution n’en est pas encore aboutie. Et, accessoirement, que de nombreux bons esprits se sont employés à l’éclaircir.
C’est qu’on connaît depuis l’Antiquité, depuis le creusement des premières mines, que la température augmente avec la profondeur dans les couches superficielles de la Terre d’environ 3° C/100 m. Cette observation a donné lieu, comme vous pouvez l’imaginer, à des interprétations multiples, parfois peu rationnelles, que je ne reprendrai pas. Ce n’est qu’au début du XIXe siècle que la théorie de la chaleur de Fourier permet de lier quantitativement la chaleur perdue par la Terre à cet accroissement de la température avec la profondeur qu’on appelle le gradient géothermique. Fourier, au demeurant, s’intéressa très directement à la question des températures terrestres qui, dit-il, « nous a toujours paru l’un des grands sujets des études cosmologiques ; et nous l’avions particulièrement en vue en établissant la théorie mathématique de la chaleur. Dès l’origine de nos recherches, nous avons désiré connaître la loi des températures intérieures d’une sphère solide primitivement échauffée par son immersion dans un milieu (chaud) et qui est apportée dans un milieu froid » (1824).
Avant de parler du célèbre modèle de Kelvin, fondé sur la théorie de Fourier, je vais dire un mot d’un travail antérieur de Buffon, de 1755. En effet, Buffon tenta de répondre par l’expérience à cette même question que Fourier devait énoncer 70 ans plus tard dans les termes que je viens de rappeler, avec pour objectif déclaré d’estimer l’âge de la Terre.
Buffon fit faire des boulets de fer forgé (et d’autres matériaux) de différents diamètres (d’1/2 pouce à 5 pouces) et les fit chauffer dans ses forges jusqu’à ce qu’ils fussent portés au blanc. Il mesura alors le temps t1 mis par le boulet pour refroidir jusqu’à ce qu’on pût le toucher à la main, et le temps t2 nécessaire pour qu’il arrivât à la température ambiante. Il porta les temps t1 et t2 en fonction du diamètre des boulets et trouva une relation linéaire entre ces paramètres. Je cite la conclusion de Buffon (très aventurée ; son changement d’échelle n’était pas légitime) :
« En supposant, comme tous les phénomènes paraissent l’indiquer, que la Terre ait été autrefois dans un état de liquéfaction causé par le feu, il est démontré par nos expériences que si le Globe était composé entièrement de fer ou de matière ferrugineuse, il ne se serait consolidé jusqu’au centre qu’en 4 026 ans, refroidi jusqu’au point de pouvoir le toucher sans se brûler qu’en 46 991 ans, refroidi au point de la température actuelle qu’en 100 696 ans… »
Buffon réduit un peu cette estimation, pour tenir compte de ce que la Terre est plutôt composée de matières « vitrescibles et calcaires », à 75 000 ans. Ce qui était déjà très long en comparaison des âges fondés sur les écritures, tel celui d’Ussher.

Le modèle de Kelvin (1862)

Il fit couler beaucoup d’encre. Pour en saisir toute l’importance, il faut le replacer dans le vaste et vigoureux débat d’idées animant la géologie du XIXe siècle : la lutte entre les tenants de l’uniformitarisme et ceux du catastrophisme, du temps cyclique et du temps sagittal, entre les partisans de la chronologie longue et ceux de la chronologie courte. Kelvin, lui, non sans quelque arrogance dans le propos, s’en tenait aux principes fondamentaux de la physique, dont celui de la conservation de l’énergie : « La Terre perd constamment de la chaleur, ainsi qu’en témoigne l’observation du gradient géothermique ; l’idée d’une activité géologique cyclique est absurde ; cette activité doit au contraire décroître régulièrement avec le temps. »
Voici donc le calcul de Lord Kelvin ; il part de la valeur mesurée du gradient géothermique, disons 1° C/33 m. À l’instant initial t = 0 le milieu (la sphère terrestre ; mais dans son calcul Kelvin fait l’approximation légitime d’un modèle plan) est à une température uniforme égale à la température de fusion, Tg, qu’il prend égale à 3 800 °C. Puis Kelvin laisse simplement la Terre — la sphère — se refroidir, par rayonnement de chaleur dans l’espace ; la condition de température à la surface du Globe est, comme je l’ai déjà dit, T = 0 °C (Fig. 1).
Figure 1
Pour de petites valeurs du temps la valeur du gradient géothermique (dT/dx) va être extrêmement élevée, puis va décroître à mesure que la couche refroidie par diffusion de la chaleur de l’intérieur vers la surface libre augmente d’épaisseur (Fig. 2).
Figure 2
Au bout d’un certain temps, la valeur du gradient dans le modèle, c’est-à-dire de la pente de la droite représentant la température en fonction de la profondeur — dans le voisinage de la surface — atteint la valeur du gradient géothermique observée aujourd’hui, go. Ce temps t est facile à calculer.
Il vient :
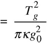
T (âge de la Terre fourni par le modèle)
image
Je rappelle que Tg = 3 800 °C et go = 1 °C/33 m. k est la diffusivité thermique, rapport de la conductivité thermique au produit de la densité par la chaleur spécifique. On la mesure pour les roches de la croûte. Prenant comme Kelvin k = 1,2 10– 6 m2 s– 1
Il vient : t = 100.106 ans
La Terre n’était donc pas si vieille que le pensaient les géologues uniformitaristes, les tenants du temps cyclique… Je dois passer sur les longues discussions qui suivirent, sur les modifications apportées à cet âge du modèle, parfois par Kelvin lui-même.
Pourquoi l’estimation de l’âge de la Terre par Kelvin est-elle erronée ? L’opinion qui prévaut, même chez de nombreux scientifiques, parfois géologues, est que Kelvin ne pouvait tenir compte du dégagement de chaleur radioactive dans les roches du manteau — j’y reviendrai — puisque la radioactivité n’était pas encore découverte. Ce n’est pas la raison ; l’introduction du dégagement de chaleur radioactif ne change pas beaucoup l’estimation. La raison est que Kelvin considère que la chaleur de l’...

Table des matières

  1. Couverture
  2. Titre
  3. Copyright
  4. Introduction
  5. La dynamique du globe contrôle-t-elle l’évolution des espèces ? - par Vincent Courtillot
  6. Climats et paysages de l’ère préhistorique - par Sylvie Joussaume
  7. Le refroidissement de la Terre - par Jean-Louis Le Mouël
  8. La tectonique des plaques  : de l’océan à l’espace - par Xavier Le Pichon
  9. Séismes et risques sismiques - par Michel Campillo
  10. Au-dessous des volcans - par Claude Jaupart
  11. Le cycle de l’eau et l’adéquation besoins-ressources au XXIe siècle - par Ghislain de Marsily
  12. L’observation de l’Océan - par Christian Le Provost
  13. Les fleuves sous les mers, courants et marées - par Jean-François Minster
  14. Les grands fonds océaniques et les gisements de métaux de demain - par Thierry Juteau
  15. El Niño, un phénomène issu de l’océan Pacifique tropical - par Joël Picaut
  16. L’action de l’Homme sur le climat - par Hervé Le Treut
  17. La Météorologie - par Olivier Talagrand
  18. Le climat - par Robert Sadourny
  19. Ozone et qualité de l’air - par Gérard Mégie
  20. Les auteurs
  21. Table