Mechanical Properties of Solid Polymers
eBook - ePub

Mechanical Properties of Solid Polymers

  1. English
  2. ePUB (mobile friendly)
  3. Available on iOS & Android
eBook - ePub

Mechanical Properties of Solid Polymers

About this book

Providing an updated and comprehensive account of the properties of solid polymers, the book covers all aspects of mechanical behaviour.  This includes finite elastic behavior, linear viscoelasticity and mechanical relaxations, mechanical anisotropy, non-linear viscoelasicity, yield behavior and fracture. New to this edition is coverage of polymer nanocomposites, and molecular interpretations of yield, e.g. Bowden, Young, and Argon.

The book begins by focusing on the structure of polymers, including their chemical composition and physical structure.  It goes on to discuss the mechanical properties and behaviour of polymers, the statistical molecular theories of the rubber-like state and describes aspects of linear viscoelastic behaviour, its measurement, and experimental studies.

Later chapters cover composites and experimental behaviour, relaxation transitions, stress and yielding. The book concludes with a discussion of breaking phenomena.

Trusted by 375,005 students

Access to over 1 million titles for a fair monthly price.

Study more efficiently using our study tools.

Information

Publisher
Wiley
Year
2012
Print ISBN
9781444319507
Edition
3
eBook ISBN
9781118413197
1
Structure of Polymers
The mechanical properties that form the subject of this book are a consequence of the chemical composition of the polymer and also of its structure at the molecular and supermolecular levels. We shall therefore introduce a few elementary ideas concerning these aspects.
1.1 Chemical Composition
1.1.1 Polymerisation
Linear polymers consist of long molecular chains of covalently bonded atoms, each chain being a repetition of much smaller chemical units. One of the simplest polymers is polyethylene, which is an addition polymer made by polymerising the monomer ethylene, CH2=CH2, to form the polymer.
image
Note that the double bond is removed during the polymerisation (Figure 1.1). The well-known vinyl polymers are made by polymerising compounds of the form.
image
where X represents a chemical group; examples are as follows:
Polypropylene
image
FIGURE 1.1 (a) The polyethylene chain (CH2)n in schematic form (larger spheres, carbon; smaller spheres, hydrogen) and (b) sketch of a molecular model of a polyethylene chain.
c01f001
Polystyrene
image
and
poly(vinyl chloride)
image
Natural rubber, polyisoprene, is a diene, and its repeat unit
image
contains a double bond.
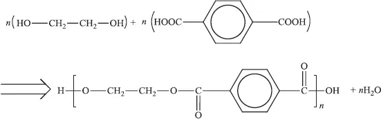
A condensation reaction is one in which two or more molecules combine into a larger molecule with or without the loss of a small molecule (such as water). One example is the formation of polyethylene terephthalate (the polyester used for Terylene and Dacron fibres and transparent films and bottles) from ethylene glycol and terephthalic acid:
image
Another common condensation polymer is nylon 6,6.
image
1.1.2 Cross-Linking and Chain-Branching
Linear polymers can be joined by other chains at points along their length to make a cross-linked structure (Figure 1.2). Chemical cross-linking produces a thermosetting polymer, so called because the cross-linking agent is normally activated by heating, after which the material does not soften and melt when heated further, for example Bakelite and epoxy resins. A small amount of cross-linking through sulfur bonds is needed to give natural rubber its characteristic feature of rapid recovery from a large extension.
FIGURE 1.2 Schematic diagram of a cross-linked polymer.
c01f002
Very long molecules in linear polymers can entangle to form temporary physical cross-links, and we shall show later that a number of the characteristic properties of solid polymers are explicable in terms of the behaviour of a deformed network.
A less extreme complication is chain branching, where a secondary chain initiates from a point on the main chain, as is illustrated for polyethylene in Figure 1.3. Low-density polyethylene, as distinct from the high-density linear polyethylene shown in Figure 1.1, possesses on average one long branch per molecule and a larger number of small branches, mainly ethyl (—CH2—CH3) or butyl (—(CH2)3—CH3) side groups. The presence of these branch points leads to considerable differences in mechanical behaviour compared with linear polyethylene.
FIGURE 1.3 A chain branch in polyethylene.
c01f003
1.1.3 Average Molecular Mass and Molecular Mass Distribution
Each sample of a polymer contains molecular chains of varying lengths, that is of varying molecular mass (Figure 1.4). The mass (length) distribution is of importance in determining the properties of the polymer, but until the advent of gel permeation chromatography [1,2] it could be determined only by tedious fractionation procedures. Most investigations therefore quoted different types of average molecular mass, the commonest being the number average
and the weight average
, defined as
Unnumbered Display Equation
where Ni is the number of molecules of molecular mass Mi, and Σ denotes summation over all i molecular masses.
FIGURE 1.4 The gel permeation chromatograph trace gives a direct indication of the molecular distribution. (Results obtained in Marlex 6009 by Dr. T. Williams.)
c01f004
The weight average molecular mass is always higher than the number average, as the former is strongly influenced by the relatively small number of very long (massive) molecules. The ratio of the two averages gives a general idea of the width of the molecular mass distribution.
Fundamental measurements of average molecular mass must be performed on solutions so dilute that intermolecular interactions can be ignored or compensated for. The commonest techniques are osmotic pressure for the number average and light scattering for the weight average. Both methods are rather lengthy, so in practice an average molecular mass was often deduced from viscosity measurements of either a dilute solution of the polymer (which relates to Mn) or a polymer melt (which relates to Mw). Each method yielded a different average value, which made it difficult to correlate specimens characterised by different groups of workers.
The molecular mass distribution is important in determining flow properties, and so may affect the mechanical properties of a solid polymer indirectly by influencing the final physical state. Direct correlations of molecular mass to viscoelastic behaviour and brittle strength have also been obtained.
1.1.4 Chemical and Steric Isomerism and Stereoregularity
A further complication of the chemical structure of polymers lies in the possibility of different chemical isomeric forms within a repeat unit or between a series of repeat units. Natural rubber and gutta percha are chemically both polyisoprene, but the former is the cis form and the latter is the trans form (see Figure 1.5). The characteristic properties of rubber are a consequence of the loose packing of molecules (i.e. large free volume) that arises from its structure.
FIGURE 1.5 cis-1,4-Polyisoprene and trans-1,4-polyisoprene.
c01f005
Vinyl monomer units
image
can be added to a growing chain either head-to-tail:
image
or head-to-head:
image
Head-to-tail substitution is usual, and only a small proportion of head-to-head linkages can produce a reduction in the tensile strength because of the loss of regularity.
Stereoregularity provides a more complex situation, which we will examine in terms of the simplest type of vinyl polymer (Figure 1.6) and for which we shall suppose that the polymer chain is a planar zigzag. Two very simple regular polymers can be constructed. In the first (Figure 1.6(a)) the substituent groups are all added in an identical manner to give an isotactic polymer. In the second regula...

Table of contents

  1. Cover
  2. Title Page
  3. Copyright
  4. Preface
  5. Chapter 1: Structure of Polymers
  6. Chapter 2: The Mechanical Properties of Polymers: General Considerations
  7. Chapter 3: The Behaviour in the Rubber-Like State: Finite Strain Elasticity
  8. Chapter 4: Rubber-Like Elasticity
  9. Chapter 5: Linear Viscoelastic Behaviour
  10. Chapter 6: The Measurement of Viscoelastic Behaviour
  11. Chapter 7: Experimental Studies of Linear Viscoelastic Behaviour as a Function of Frequency and Temperature: Time–Temperature Equivalence
  12. Chapter 8: Anisotropic Mechanical Behaviour
  13. Chapter 9: Polymer Composites: Macroscale and Microscale
  14. Chapter 10: Relaxation Transitions: Experimental Behaviour and Molecular Interpretation
  15. Chapter 11: Non-linear Viscoelastic Behaviour
  16. Chapter 12: Yielding and Instability in Polymers
  17. Chapter 13: Breaking Phenomena
  18. Index

Frequently asked questions

Yes, you can cancel anytime from the Subscription tab in your account settings on the Perlego website. Your subscription will stay active until the end of your current billing period. Learn how to cancel your subscription
No, books cannot be downloaded as external files, such as PDFs, for use outside of Perlego. However, you can download books within the Perlego app for offline reading on mobile or tablet. Learn how to download books offline
Perlego offers two plans: Essential and Complete
  • Essential is ideal for learners and professionals who enjoy exploring a wide range of subjects. Access the Essential Library with 800,000+ trusted titles and best-sellers across business, personal growth, and the humanities. Includes unlimited reading time and Standard Read Aloud voice.
  • Complete: Perfect for advanced learners and researchers needing full, unrestricted access. Unlock 1.4M+ books across hundreds of subjects, including academic and specialized titles. The Complete Plan also includes advanced features like Premium Read Aloud and Research Assistant.
Both plans are available with monthly, semester, or annual billing cycles.
We are an online textbook subscription service, where you can get access to an entire online library for less than the price of a single book per month. With over 1 million books across 990+ topics, we’ve got you covered! Learn about our mission
Look out for the read-aloud symbol on your next book to see if you can listen to it. The read-aloud tool reads text aloud for you, highlighting the text as it is being read. You can pause it, speed it up and slow it down. Learn more about Read Aloud
Yes! You can use the Perlego app on both iOS and Android devices to read anytime, anywhere — even offline. Perfect for commutes or when you’re on the go.
Please note we cannot support devices running on iOS 13 and Android 7 or earlier. Learn more about using the app
Yes, you can access Mechanical Properties of Solid Polymers by Ian M. Ward,John Sweeney in PDF and/or ePUB format, as well as other popular books in Technology & Engineering & Chemical & Biochemical Engineering. We have over one million books available in our catalogue for you to explore.