
- 608 pages
- English
- ePUB (mobile friendly)
- Available on iOS & Android
eBook - ePub
Mechanical Vibration Analysis and Computation
About this book
Focusing on applications rather than rigorous proofs, this volume is suitable for upper-level undergraduates and graduate students concerned with vibration problems. In addition, it serves as a practical handbook for performing vibration calculations.
An introductory chapter on fundamental concepts is succeeded by explorations of frequency response of linear systems and general response properties, matrix analysis, natural frequencies and mode shapes, singular and defective matrices, and numerical methods for modal analysis. Additional topics include response functions and their applications, discrete response calculations, systems with symmetric matrices, continuous systems, and parametric and nonlinear effects. The text is supplemented by extensive appendices and answers to selected problems.
This volume functions as a companion to the author's introductory volume on random vibrations (see below). Each text can be read separately; and together, they cover the entire field of mechanical vibrations analysis, including random and nonlinear vibrations and digital data analysis.
An introductory chapter on fundamental concepts is succeeded by explorations of frequency response of linear systems and general response properties, matrix analysis, natural frequencies and mode shapes, singular and defective matrices, and numerical methods for modal analysis. Additional topics include response functions and their applications, discrete response calculations, systems with symmetric matrices, continuous systems, and parametric and nonlinear effects. The text is supplemented by extensive appendices and answers to selected problems.
This volume functions as a companion to the author's introductory volume on random vibrations (see below). Each text can be read separately; and together, they cover the entire field of mechanical vibrations analysis, including random and nonlinear vibrations and digital data analysis.
Tools to learn more effectively

Saving Books

Keyword Search

Annotating Text

Listen to it instead
Information
Topic
Physical SciencesSubtopic
MechanicsChapter 1
Fundamental concepts
General solution for one degree of freedom
The vibration behaviour of many real systems can be approximated by a physical model with one degree of freedom defined by

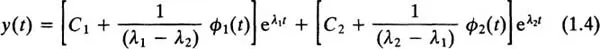
where x ≡ x(t) is the excitation and y ≡ y(t) is the response, which are both functions of time, t. The constants m, c and k represent the mass, viscous damping and stiffness of the system, which is shown in Fig. 1.1. If there is no excitation, so that x(t) = 0, this has the general solution

where C1 and C2 are arbitrary constants determined by the initial conditions and the eigenvalues λ1, λ2 are the two roots of the characteristic equation

which we assume are distinct so that λ1 ≠ λ2. When x(t) is not zero, the solution from y(t) can be written in the form

Fig. 1.1 Single-degree-of-freedom system with force input x(t) and displacement output y(t)

where ϕ1(t) and ϕ2(t) are the indefinite integrals


Each integral introduces an arbitrary constant of integration; in (1.4) these are given by the constants C1 and C2, which must be chosen to satisfy the initial conditions.
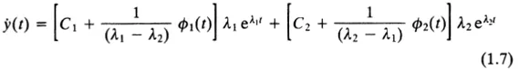
In Chapter 4 we shall derive the solution (1.4) from first principles, but the reader can check that the answer given is correct by differentiating (1.4) to obtain ẏ and ÿ and then substituting these expressions into the left-hand side of (1.1). The result for ẏ is

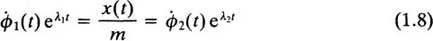
as may be verified from Problem 1.1. On first inspection it appears that (1.7) cannot be the result of differentiating (1.4) because the functions ϕ1(t) and ϕ2(t) do not appear to have been differentiated. However, because of the form of (1.5) and (1.6),

and so these terms cancel out in (1.7).
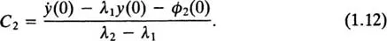
If, at time t = 0, the initial conditions are y(0) and ẏ(0), and the integrals in (1.5) and (1.6) have the values ϕ1(0) and ϕ2(0), then, from (1.4),

and, from (1.7),

from which

and

On substituting in (1.4) for C1 and C2 from (1.11) and (1.12), we find that the general solution for y(t) can be writt...
Table of contents
- Cover
- Title Page
- Copyright Page
- Contents
- Preface
- Disclaimer of warranty
- Selected topics for a first course on vibration analysis and computation
- Acknowledgements
- Chapter 1: Fundamental concepts
- Chapter 2: Frequency response of linear systems
- Chapter 3: General response properties
- Chapter 4: Matrix analysis
- Chapter 5: Natural frequencies and mode shapes
- Chapter 6: Singular and defective matrices
- Chapter 7: Numerical methods for modal analysis
- Chapter 8: Response functions
- Chapter 9: Application of response functions
- Chapter 10: Discrete response calculations
- Chapter 11: Systems with symmetric matrices
- Chapter 12: Continuous systems I
- Chapter 13: Continuous systems II
- Chapter 14: Parametric and nonlinear effects
- Appendices: Logical flow diagrams
- Problems
- Answers to selected problems
- List of references
- Summary of main formulae
- Index
Frequently asked questions
Yes, you can cancel anytime from the Subscription tab in your account settings on the Perlego website. Your subscription will stay active until the end of your current billing period. Learn how to cancel your subscription
No, books cannot be downloaded as external files, such as PDFs, for use outside of Perlego. However, you can download books within the Perlego app for offline reading on mobile or tablet. Learn how to download books offline
Perlego offers two plans: Essential and Complete
- Essential is ideal for learners and professionals who enjoy exploring a wide range of subjects. Access the Essential Library with 800,000+ trusted titles and best-sellers across business, personal growth, and the humanities. Includes unlimited reading time and Standard Read Aloud voice.
- Complete: Perfect for advanced learners and researchers needing full, unrestricted access. Unlock 1.4M+ books across hundreds of subjects, including academic and specialized titles. The Complete Plan also includes advanced features like Premium Read Aloud and Research Assistant.
We are an online textbook subscription service, where you can get access to an entire online library for less than the price of a single book per month. With over 1 million books across 990+ topics, we’ve got you covered! Learn about our mission
Look out for the read-aloud symbol on your next book to see if you can listen to it. The read-aloud tool reads text aloud for you, highlighting the text as it is being read. You can pause it, speed it up and slow it down. Learn more about Read Aloud
Yes! You can use the Perlego app on both iOS and Android devices to read anytime, anywhere — even offline. Perfect for commutes or when you’re on the go.
Please note we cannot support devices running on iOS 13 and Android 7 or earlier. Learn more about using the app
Please note we cannot support devices running on iOS 13 and Android 7 or earlier. Learn more about using the app
Yes, you can access Mechanical Vibration Analysis and Computation by D. E. Newland in PDF and/or ePUB format, as well as other popular books in Physical Sciences & Mechanics. We have over one million books available in our catalogue for you to explore.