Nutrigenomics and Proteomics in Health and Disease
eBook - ePub

Nutrigenomics and Proteomics in Health and Disease

Towards a Systems-level Understanding of Gene-diet Interactions

  1. English
  2. ePUB (mobile friendly)
  3. Available on iOS & Android
eBook - ePub

Nutrigenomics and Proteomics in Health and Disease

Towards a Systems-level Understanding of Gene-diet Interactions

About this book

Now in a revised second edition, Nutrigenomics and Proteomics in Health and Disease brings together the very latest science based upon nutrigenomics and proteomics in food and health. Coverage includes many important nutraceuticals and their impact on gene interaction and health. Authored by an international team of multidisciplinary researchers, this book acquaints food and nutrition professionals with these new fields of nutrition research and conveys the state of the science to date.

Thoroughly updated to reflect the most current developments in the field, the second edition includes six new chapters covering gut health and the personal microbiome; gut microbe-derived bioactive metabolites; proteomics and peptidomics in nutrition; gene selection for nutrigenomic studies; gene-nutrient network analysis, and nutrigenomics to nutritional systems biology. An additional five chapters have also been significantly remodelled. The new text includes a rethinking of in vitro and in vivo models with regard to their translatability into human phenotypes, and normative science methods and approaches have been complemented by more comprehensive systems biology-based investigations, deploying a multitude of omic platforms in an integrated fashion. Innovative tools and methods for statistical treatment and biological network analysis are also now included.

Trusted by 375,005 students

Access to over 1.5 million titles for a fair monthly price.

Study more efficiently using our study tools.

Information

Publisher
Wiley
Year
2017
Print ISBN
9781119098836
eBook ISBN
9781119101260

Section II
Bioactives and Phytonutrients

4
Bioactive interactions in food and natural extracts

Sofia Moco and Denis Barron

4.1 Natural compounds as all compounds produced by nature

Natural compounds are compounds produced by living systems. By convention, they are normally associated with secondary metabolites, even though primary metabolites are obviously also natural chemical species. Perhaps a more suitable approach would be to define natural compounds as the sum of unique compounds present in all of nature’s metabolomes (which would include primary and secondary metabolites). Primary metabolites are then considered as the small molecules included in biosynthetic pathways that constitute the building blocks of life (amino acids, fatty acids, carbohydrates and nucleic acids). Whereas primary metabolites are highly conserved among all living organisms, being directly involved in essential processes such as energy production, growth and development, secondary metabolites are considered non‐essential. To a large extent, secondary metabolites are produced by peripheral biosynthetic pathways once ramified from central metabolism. They accumulate an array of diverse compounds, which can exert structural uniqueness up to the species level. Some of these secondary metabolites have been associated with environmental adaptation functions, for example, defence against predators, attraction of pollinators and biotic and abiotic stress, although specific functions of secondary metabolites are largely unknown. Because of their ecological function, secondary metabolites are probably the most chemically diverse small molecules produced by living systems.
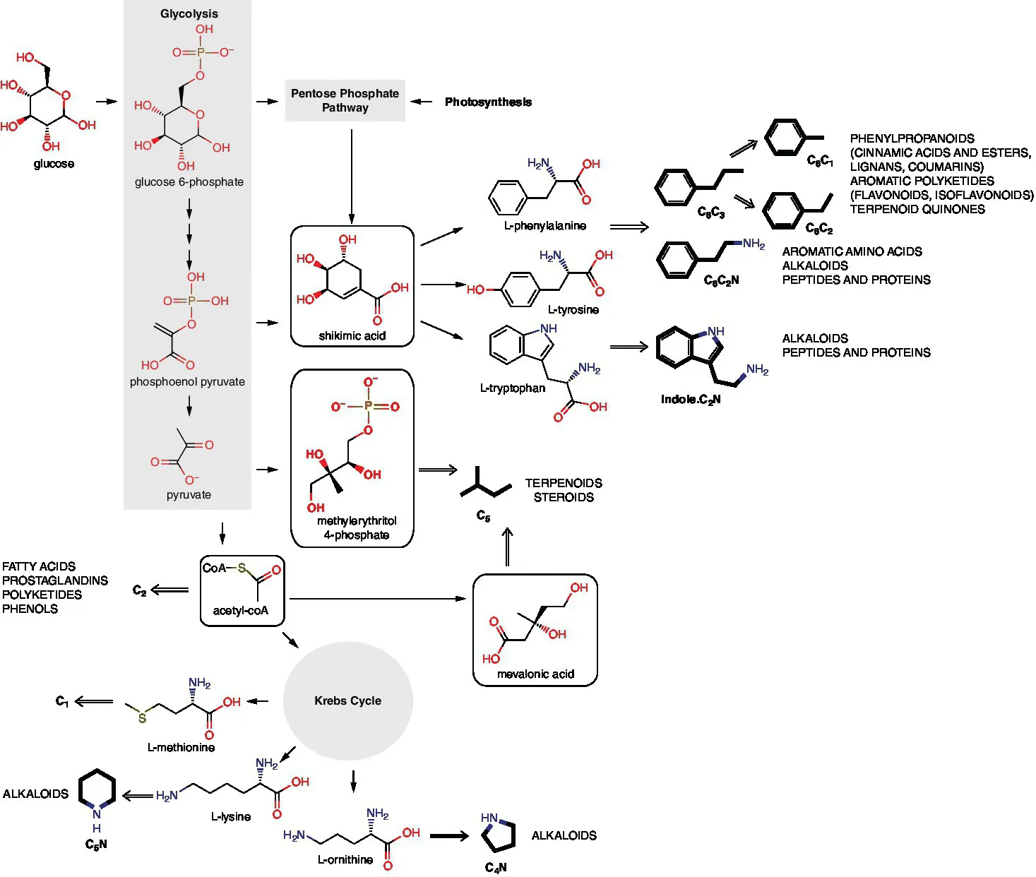
In general terms, there are three major classes of secondary metabolites: phenolics (including low molecular mass phenolics, flavonoids and also polymeric structures such as tannins and lignins); alkaloids derived from amino acids; and terpenoids, the most numerous and chemically diverse class of natural compounds (Jones et al., 2013). Biosynthetically, secondary metabolites are derived from primary metabolism through several known entry points (Figure 4.1). Metabolites derived from the acetate pathway (through intermediates of acetyl‐coenzyme A) include phenols, prostaglandins, fatty acids and polyketides. The shikimate pathway, derived from phosphoenol pyruvate (glycolysis) and erythrose‐4‐phosphate (pentose phosphate pathway), leads to a variety of phenols, cinnamic acid derivatives, lignans and alkaloids. Mevalonate and deoxyxylulose phosphate pathways are responsible for the biosynthesis of terpenoid and steroid metabolites. Peptides, proteins, alkaloids and many antibiotics are derived from amino acid biosynthesis. In addition, natural compounds are often glycosylated and these are derived from carbohydrate pathways. Glycosylation of natural compounds is an additional layer of chemical diversity. In fact, >300 distinct sugar building blocks have been identified, conjugated to polyketides, quinones, coumarins, enediynes, indoles and macrolides. Glycosylation enzymes can establish glycosylation using different atoms, such as nitrogen, oxygen, carbon and sulfur (Elshahawi et al., 2015; Walsh, 2015).
Schematic flow illustrating the building blocks for secondary metabolism derived from primary metabolism, with building blocks C1, C2, C5, C6C3, C6C2N, indole.C2N, C4N and C5N).
Figure 4.1 The building blocks for secondary metabolism are derived from primary metabolism. Certain metabolites from fundamental processes of glycolysis, pentose phosphate pathway, Krebs cycle and photosynthesis are pivotal intermediates for secondary metabolism biosynthesis. The number of building blocks (in bold: C1, C2, C5, C6C3, C6C2N, indole.C2N, C4N and C5N) is relatively limited and most are derived from the intermediates (depicted in boxes) acetyl‐coenzyme A (acetyl‐CoA), shikimic acid, mevalonic acid and methylerythritol phosphate. These building blocks, alone or combined, lead to most natural compound classes known today: fatty acids, prostaglandins, aliphatic polyketides, phenols, terpenoids, steroids, phenylpropanoids (cinnamic acids and esters, lignans, coumarins), aromatic polyketides (flavonoids, isoflavonoids), terpenoid quinones, aromatic amino acids and alkaloids derived from tyrosine, anthranilic acid, phenylalanine, tryptophan, ornithine and lysine.
It is then possible to dissect the basic theoretical building blocks of natural products into the eight most used structural features that when combined can make the carbon and nitrogen skeleton of natural compounds (Dewick, 2009) (Figure 4.1). The combination of building blocks can then lead to the greatest complexity of natural compound structures found in nature. Even though the biosynthesis of some natural compounds involves lengthy metabolic pathways, surprisingly short metabolic pathways can also lead to complex natural products, as the case of communesin K. This fungal indole alkaloid is produced by using the indole ring of tryptophan as the central building block in different reactions (Walsh, 2015). The biosynthesis of natural compounds is conducted by metabolic reaction sequences catalysed by enzymes. Even though many types of general reactions are known to occur (alkylation, transamination, decarboxylation, oxidation, reduction, glycosylation, etc.), some natural compound biosynthetic pathways are not as detailed as others (Dewick, 2009). Unexpected enzymatic reactions can lead to the discovery of novel natural products scaffold. Being able to manipulate biosynthetic enzymes offers a unique opportunity to create natural product analogues (Kim et al., 2015).

4.1.1 Natural compounds are out there

The number of known secondary metabolites widely exceeds the number of existing primary metabolites and probably many more exist that have not yet been catalogued. Bérdy (2005) stated that more than one million natural compounds are known; however, available databases containing catalogues of molecules list a more reserved number of natural molecules. According to the KEGG LIGAND database, defined as the universe of chemical substances and reactions relevant to life, the number of catalogued compounds is >17 500, and >10 900 glycan entries are present (Kanehisa et al., 2014). Over 270 000 natural compounds are listed in the Dictionary of Natural Products (CHEMnetBASE, 2016), which is considered the gold standard of natural compound databases and includes mostly secondary metabolites endogenous to plants, marine organisms, fungi and microorganisms, and also vertebrates.
Plants are the most traditional source of natural compounds. The Plant List, a working list of all known vascular plant species (flowering plants, conifers, ferns and their allies and Bryophytes – mosses and liverworts; it does not include algae or fungi), contains over one million scientific plant names, of which >350 000 plant species are currently accepted (The Plant List, 2013). The number of described plant metabolites exceeds 200 000, but many more are likely to exist, knowing that only 20–30% of existing plants have been chemically characterized so far (BĂ©rdy, 2005; Wink, 2010). Chemical diversity in plant metabolomes is not only dep...

Table of contents

  1. Cover
  2. Title Page
  3. Table of Contents
  4. Contributors
  5. Preface
  6. Biography of Martin Kussmann
  7. Section I: Genes, Proteins, and Nutrition
  8. Section II: Bioactives and Phytonutrients
  9. Section III: Prebiotics, Probiotics, Synbiotics, and the Gut Ecosystem
  10. Section IV: Nutrigenomic and Proteomic Technologies
  11. Index
  12. End User License Agreement

Frequently asked questions

Yes, you can cancel anytime from the Subscription tab in your account settings on the Perlego website. Your subscription will stay active until the end of your current billing period. Learn how to cancel your subscription
No, books cannot be downloaded as external files, such as PDFs, for use outside of Perlego. However, you can download books within the Perlego app for offline reading on mobile or tablet. Learn how to download books offline
Perlego offers two plans: Essential and Complete
  • Essential is ideal for learners and professionals who enjoy exploring a wide range of subjects. Access the Essential Library with 800,000+ trusted titles and best-sellers across business, personal growth, and the humanities. Includes unlimited reading time and Standard Read Aloud voice.
  • Complete: Perfect for advanced learners and researchers needing full, unrestricted access. Unlock 1.5M+ books across hundreds of subjects, including academic and specialized titles. The Complete Plan also includes advanced features like Premium Read Aloud and Research Assistant.
Both plans are available with monthly, semester, or annual billing cycles.
We are an online textbook subscription service, where you can get access to an entire online library for less than the price of a single book per month. With over 1.5 million books across 990+ topics, we’ve got you covered! Learn about our mission
Look out for the read-aloud symbol on your next book to see if you can listen to it. The read-aloud tool reads text aloud for you, highlighting the text as it is being read. You can pause it, speed it up and slow it down. Learn more about Read Aloud
Yes! You can use the Perlego app on both iOS and Android devices to read anytime, anywhere — even offline. Perfect for commutes or when you’re on the go.
Please note we cannot support devices running on iOS 13 and Android 7 or earlier. Learn more about using the app
Yes, you can access Nutrigenomics and Proteomics in Health and Disease by Martin Kussmann, Patrick J. Stover, Martin Kussmann,Patrick J. Stover in PDF and/or ePUB format, as well as other popular books in Tecnologia e ingegneria & Scienze dell'alimentazione. We have over 1.5 million books available in our catalogue for you to explore.